- Get link
- X
- Other Apps

Calculate The Impedance And Phase Angle Of A Capacitor

Complex Impedances Electrical Engineering Stack Exchange
What Are Impedance Esr Frequency Characteristics In


Ac Capacitance And Capacitive Reactance In Ac Circuit

Lessons In Electric Circuits Volume Ii Ac Chapter 4
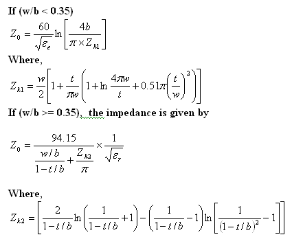
Stripline Impedance Calculator

Solved R 100w Resistor C 10 Uf Capacitor L 120 Mh Induc

What Is The Difference Between Cp And Cs Of Capacitance

Capacitor Inductor And Resistor In Parallel Calculator

Reactance Calculator R L C Inductance Inductor Capacitance

Basics Of Eis Electrochemical Research Impedance

What Are Impedance Frequency Characteristics In Capacitors

Ac Inductance And Inductive Reactance In An Ac Circuit

Tapped Capacitor Matching Analog Rf Intgckts

Parallel Rc Circuit Impedance Calculator Electrical Rf And
Comments
Post a Comment